dq축 인덕턴스 구하는 법은 사실 여러가지가 있습니다.
일단 실험으로 구할 것이냐, 유한요소해석과 같은 시뮬레이션으로 구할 것이냐에 따라서도 나뉘긴 하지만,
가장 실효성이 높은 방법은 벡터제어로 dq축 전류를 주입하면서 실제 구동하여 얻어내는 것입니다.
그러면 dq전류 좌표평면에서 좌표별로 dq인덕턴스를 각각 구해낼 수 있죠.
(사실 IPMSM에서 실제 제어용 목적으로 구하려면 온도에 따라서 변하는 값도 구해야 해서 3차원 배열로
구해야 합니다)
이번에는 유한요소해석과 실험, 두 경우에 모두 적용가능한 측정법을 소개합니다.
하지만 먼저 이해를 위해서 유한요소해석을 통해 구한다는 가정하에 설명을 드립니다.
1. 부하 운전 시뮬레이션을 합니다.

dq축 인덕턴스를 얻고 싶은 dq 전류 좌표 지점을 위에서 처럼 전류제한원 안에서 포인트를 잡아서 시뮬레이션을 돌립니다. 이 때, 입력을 전압이 아닌 전류를 강제로 dq 전류로 맞춰서 시뮬레이션을 돌려야 합니다. 굳이 그렇게 안하고 전압을 넣어서 보실 수도 있지만, 그러면 전류가 얼마나 나올지 예상하기가 힘들기 때문에 비추천합니다. 전압제한원 안에서의 포인트를 보실려면 전압으로 하셔도 무관할 것입니다.
이때, 속도는 무관합니다. 단지 저는 1200rpm을 주로 하고 정해진 베이스 속도가 있다면 그 정도로 하시는게 무난합니다.
2. FFT 해석
부하 운전 시뮬레이션은 전류를 강제로 유도하고, 그에 따라서 전압이 발생합니다. 그런데 그 전압에 고조파가 많이 붙어있습니다. 저희가 원하는 것은 전압 기본파만 알면 되기 때문에, FFT를 통해서 전압, 전류의 기본파 크기와 위상을 얻어냅니다. 기본적으로 한 상의 전압과 전류의 크기와 위상만 알면 됩니다.
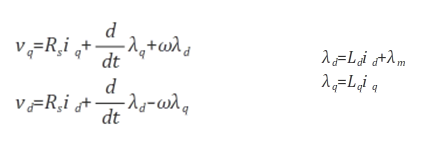
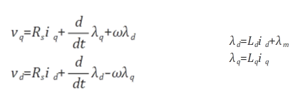
3. DQ평면 벡터도

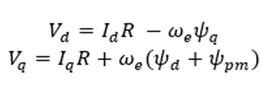
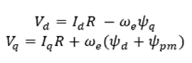
시뮬레이션을 통해 얻어진 전압 벡터와 전류벡터의 기본파 크기와 위상을 알았다면, 위의 벡터도를 토대로 d,q축 전압과 d,q축 전류를 각각 구해냅니다. 이것을 dq축 전압 방정식에 대입해서 나머지 d축 q축 인덕턴스 값을 얻어냅니다. dq축 전압방정식은 아래와 같습니다.

우리는 기본적으로 상저항인 Rs와 무부하 쇄교자속인 Lambda PM(식에서는 Lambda d의 식에 포함된 Lambda M)에 대해서는 알고 있다고 가정할 수 있죠. 상저항은 간단히 측정하여 알 수 있고, Lambda PM은 역기전력을 통해서 알 수 있으니까요. 역산을 통해서 Ld(d축 인덕턴스)에 대한 식이나, Lq(q축 인덕턴스)에 대한 식으로 정리할 수 있습니다.
q축 전압 방정식의 q축 쇄교자속의 변화율은 정상상태에서는 거의 0입니다. 시뮬레이션을 돌리셨다면 강제로 맞추셨기 때문에 0이라고 보셔되 되죠. 그럼 나머지는 이렇게 남습니다. Psi_q와 Psi_d, Psi_PM은 각각 위 식의 Lamda_d, q, m과 동일합니다.


이렇게 식을 통해서 dq축 인덕턴스를 얻으면 끝입니다.
생각보다 간단하죠? 그런데 데이터 후처리를 잘못하거나, 모터의 극수를 고려안해서 전기각속도를 잘못 맞추거나 하면 이상한 값이 나오게 됩니다. 처음엔 원인찾기가 힘든데, 하다보면 익숙해지더라구요.
실험도 사실 유한요소해석을 통해서 얻는 것과 동일하게 진행하시면 됩니다. 단지 속도제어가 되어서 안정적으로 dq축 전류를 바꾸어가며 정상상태에서 측정을 해야 합니다. 이러한 실험 셋업이 완성된 상태에서 하여야 하기 때문에 쉽지가 않죠. 실험중 데이터를 추출하기에도 오실로스코프와 전용 전압, 전류 프로브가 있어야 합니다. 그게 아니라면 모터 제어용 DSP와 PC를 통신시켜서 직렬 통신으로 얻어지는 데이터를 추출해서 얻어야 하죠. 이 부분은 매트랩이나 파이썬으로 가능합니다.
더 자세한 질문은 댓글로 남겨주세요.
'전기공학' 카테고리의 다른 글
| 부트스트랩 게이트 드라이버 회로에서 소자 값들 산정하는 법 (0) | 2021.01.17 |
|---|---|
| UVLO 기능은 무엇인가? (0) | 2021.01.16 |
| 매입형 영구자석 동기전동기(IPMSM)의 d, q축 자기회로 (2) | 2021.01.08 |
| IGBT 게이트 드라이버 회로 - TLP250 옵토커플러 (3) | 2021.01.03 |
| 모터의 극 수에 따른 장점과 단점. (0) | 2020.12.25 |